Skip to content

INTERMT/BP-Algorithm

Folders and files

NameName
Last commit message
Last commit date

Latest commit

 

History

10 Commits
 
 
 
 
 
 
 
 

Repository files navigation

上篇

反向传播算法(Backpropagation Algorithm,简称BP算法)是深度学习的重要思想基础,对于初学者来说也是必须要掌握的基础知识!本文希望以一个清晰的脉络和详细的说明,来让读者彻底明白BP算法的原理和计算过程。

全文分为上下两篇,上篇主要介绍BP算法的原理(即公式的推导),介绍完原理之后,我们会将一些具体的数据带入一个简单的三层神经网络中,去完整的体验一遍BP算法的计算过程;下篇是一个项目实战,我们将带着读者一起亲手实现一个BP神经网络(不使用任何第三方的深度学习框架)来解决一个具体的问题。

1. BP算法的推导

图1 一个简单的三层神经网络图1 一个简单的三层神经网络

图 1 所示是一个简单的三层(两个隐藏层,一个输出层)神经网络结构,假设我们使用这个神经网络来解决二分类问题,我们给这个网络一个输入样本,通过前向运算得到输出。输出值的值域为,例如的值越接近0,代表该样本是"0"类的可能性越大,反之是"1"类的可能性大。

1.1 前向传播的计算

为了便于理解后续的内容,我们需要先搞清楚前向传播的计算过程,以图1所示的内容为例:

输入的样本为:

第一层网络的参数为:

第二层网络的参数为:

第三层网络的参数为:

1.1.1 第一层隐藏层的计算

图2 计算第一层隐藏层图2 计算第一层隐藏层

第一层隐藏层有三个神经元:。该层的输入为:

神经元为例,则其输入为:

同理有:

假设我们选择函数作为该层的激活函数(图1中的激活函数都标了一个下标,一般情况下,同一层的激活函数都是一样的,不同层可以选择不同的激活函数),那么该层的输出为:

1.1.2 第二层隐藏层的计算

图3 计算第二层隐藏层图3 计算第二层隐藏层

第二层隐藏层有两个神经元:。该层的输入为:

即第二层的输入是第一层的输出乘以第二层的权重,再加上第二层的偏置。因此得到和的输入分别为:

该层的输出分别为:

1.1.3 输出层的计算

图4 计算输出层图4 计算输出层

输出层只有一个神经元:。该层的输入为:

即:

因为该网络要解决的是一个二分类问题,所以输出层的激活函数也可以使用一个Sigmoid型函数,神经网络最后的输出为:

1.2 反向传播的计算

在1.1节里,我们已经了解了数据沿着神经网络前向传播的过程,这一节我们来介绍更重要的反向传播的计算过程。假设我们使用随机梯度下降的方式来学习神经网络的参数,损失函数定义为,其中 是该样本的真实类标。使用梯度下降进行参数的学习,我们必须计算出损失函数关于神经网络中各层参数(权重和偏置)的偏导数。

假设我们要对第层隐藏层的参数求偏导数,即求 。假设代表第层神经元的输入,即,其中 为前一层神经元的输出,则根据链式法则有:

因此,我们只需要计算偏导数

1.2.1 计算偏导数$\frac{\partial z^{(k)}}{\partial W^{(k)}}$

前面说过,第k层神经元的输入为:,因此可以得到:

上式中,代表第层神经元的权重矩阵的第行,代表第层神经元的权重矩阵的第行中的第列。

我们以1.1节中的简单神经网络为例,假设我们要计算第一层隐藏层的神经元关于权重矩阵的导数,则有:

1.2.2 计算偏导数$\frac{\partial z^{(k)}}{\partial b^{(k)}}$

因为偏置b是一个常数项,因此偏导数的计算也很简单:

依然以第一层隐藏层的神经元为例,则有:

1.2.3 计算偏导数$\frac{\partial \mathrm{L}(\mathrm{y}, \widehat{\mathrm{y}})}{\partial z^{(k)}}$

偏导数又称为误差项(error term,也称为“灵敏度”),一般用表示,例如是第一层神经元的误差项,其值的大小代表了第一层神经元对于最终总误差的影响大小。

根据第一节的前向计算,我们知道第层的输入与第层的输出之间的关系为:

又因为,根据链式法则,我们可以得到为:

由上式我们可以看到,第层神经元的误差项是由第层的误差项乘以第层的权重,再乘以第层激活函数的导数(梯度)得到的。这就是误差的反向传播。
现在我们已经计算出了偏导数 ,则可分别表示为:

下面是基于随机梯度下降更新参数的反向传播算法:

单纯的公式推导看起来有些枯燥,下面我们将实际的数据带入图1所示的神经网络中,完整的计算一遍。

2. 图解BP算法

图5 图解BP算法图5 图解BP算法

我们依然使用如图5所示的简单的神经网络,其中所有参数的初始值如下:

输入的样本为(假设其真实类标为"1"):

第一层网络的参数为:

第二层网络的参数为:

第三层网络的参数为:

假设所有的激活函数均为Logistic函数:。使用均方误差函数作为损失函数:

为了方便求导,我们将损失函数简化为:

2.1 前向传播

我们首先初始化神经网络的参数,计算第一层神经元:

上图中我们计算出了第一层隐藏层的第一个神经元的输入和输出,同理可以计算第二个和第三个神经元的输入和输出:

接下来是第二层隐藏层的计算,首先我们计算第二层的第一个神经元的输入z₄和输出f₄(z₄):

同样方法可以计算该层的第二个神经元的输入和输出

最后计算输出层的输入和输出

2.2 误差反向传播

首先计算输出层的误差项,我们的误差函数为,由于该样本的类标为“1”,而预测值为,因此误差为,输出层的误差项为:

接着计算第二层隐藏层的误差项,根据误差项的计算公式有:




最后是计算第一层隐藏层的误差项:




2.3 更新参数

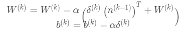
上一小节中我们已经计算出了每一层的误差项,现在我们要利用每一层的误差项和梯度来更新每一层的参数,权重W和偏置b的更新公式如下:

通常权重的更新会加上一个正则化项来避免过拟合,这里为了简化计算,我们省去了正则化项。上式中的是学习率,我们设其值为0.1。参数更新的计算相对简单,每一层的计算方式都相同,因此本文仅演示第一层隐藏层的参数更新:

3. 小结

至此,我们已经完整介绍了BP算法的原理,并使用具体的数值做了计算。在下篇中,我们将带着读者一起亲手实现一个BP神经网络(不使用任何第三方的深度学习框架)。

下篇

在上篇中我们详细介绍了BP算法的原理和推导过程,并且用实际的数据进行了计算演练。在下篇中,我们将自己实现BP算法(不使用第三方的算法框架),并用来解决鸢尾花分类问题。

图1 鸢尾花

鸢尾花数据集如图2所示,总共有三个品种的鸢尾花(setosa、versicolor和virginica),每个类别50条样本数据,每个样本有四个特征(花萼长度、花萼宽度、花瓣长度以及花瓣宽度)。

图2 鸢尾花数据集

首先我们导入需要的包:

from csv import reader
import numpy as np
from sklearn.preprocessing import MinMaxScaler
import random
import matplotlib.pyplot as plt
import math

接下来我们实现一个数据集的加载和预处理的函数load_dataset

def load_dataset(dataset_path, n_train_data):
    """加载数据集,对数据进行预处理,并划分训练集和验证集
    :param dataset_path: 数据集文件路径
    :param n_train_data: 训练集的数据量
    :return: 划分好的训练集和验证集
    """
    dataset = []
    label_dict = {'Iris-setosa': 0, 'Iris-versicolor': 1, 'Iris-virginica': 2}
    with open(dataset_path, 'r') as file:
        # 读取CSV文件,以逗号为分隔符
        csv_reader = reader(file, delimiter=',')
        for row in csv_reader:
            # 将字符串类型的特征值转换为浮点型
            row[0:4] = list(map(float, row[0:4]))
            # 将标签替换为整型
            row[4] = label_dict[row[4]]
            # 将处理好的数据加入数据集中
            dataset.append(row)

    # 对数据进行归一化处理
    dataset = np.array(dataset)
    mms = MinMaxScaler()
    for i in range(dataset.shape[1] - 1):
        dataset[:, i] = mms.fit_transform(dataset[:, i].reshape(-1, 1)).flatten()

    # 将类标转为整型
    dataset = dataset.tolist()
    for row in dataset:
        row[4] = int(row[4])
    # 打乱数据集
    random.shuffle(dataset)

    # 划分训练集和验证集
    train_data = dataset[0:n_train_data]
    val_data = dataset[n_train_data:]

    return train_data, val_data

load_dataset函数中,我们实现了数据集的读取、数据的归一化处理以及对数据集进行了shuffle操作等,最后函数返回了划分好的训练集和验证集。

实现数据预处理之后,接下来我们开始实现BP算法的关键部分(如果读者对算法原理有不清楚的地方,可以查看"一文彻底搞懂BP算法:原理推导+数据演示+项目实战(上篇)")。首先我们实现神经元的计算部分、激活函数以及激活函数的求导部分。

def fun_z(weights, inputs):
    """计算神经元的输入:z = weight * inputs + b
    :param weights: 网络参数(权重矩阵和偏置项)
    :param inputs: 上一层神经元的输出
    :return: 当前层神经元的输入
    """
    bias_term = weights[-1]
    z = 0
    for i in range(len(weights)-1):
        z += weights[i] * inputs[i]
    z += bias_term
    return z


def sigmoid(z):
    """激活函数(Sigmoid):f(z) = Sigmoid(z)
    :param z: 神经元的输入
    :return: 神经元的输出
    """
    return 1.0 / (1.0 + math.exp(-z))


def sigmoid_derivative(output):
    """Sigmoid激活函数求导
    :param output: 激活函数的输出值
    :return: 求导计算结果
    """
    return output * (1.0 - output)

函数fun_z实现了公式"z = weight * inputs + b",其中inputs是上一层网络的输出,weight是当前层的权重矩阵,b是当前层的偏置项,计算得到的z是当前层的输入。

函数sigmoid是Sigmoid激活函数的实现,将z作为激活函数的输入,计算得到当前层的输出,并传递到下一层。

函数sigmoid_derivative是Sigmoid函数求导的实现,在误差反向传播的时候需要用到。

接下来我们实现BP网络的前向传播:

def forward_propagate(network, inputs):
    """前向传播计算
    :param network: 神经网络
    :param inputs: 一个样本数据
    :return: 前向传播计算的结果
    """
    for layer in network:  # 循环计算每一层
        new_inputs = []
        for neuron in layer:  # 循环计算每一层的每一个神经元
            z = fun_z(neuron['weights'], inputs)
            neuron['output'] = sigmoid(z)
            new_inputs.append(neuron['output'])
        inputs = new_inputs
    return inputs

前向计算的过程比较简单,和我们在上篇中介绍的计算过程一致。稍微麻烦一点的是误差反向传播的计算:

def backward_propagate_error(network, actual_label):
    """误差进行反向传播
    :param network: 神经网络
    :param actual_label: 真实的标签值
    :return:
    """
    for i in reversed(range(len(network))):  # 从最后一层开始计算误差
        layer = network[i]
        errors = list()
        if i != len(network)-1:  # 不是输出层
            for j in range(len(layer)):  # 计算每一个神经元的误差
                error = 0.0
                for neuron in network[i + 1]:
                    error += (neuron['weights'][j] * neuron['delta'])
                errors.append(error)
        else:  # 输出层
            for j in range(len(layer)):  # 计算每一个神经元的误差
                neuron = layer[j]
                errors.append(actual_label[j] - neuron['output'])
        # 计算误差项 delta
        for j in range(len(layer)):
            neuron = layer[j]
            neuron['delta'] = errors[j] * sigmoid_derivative(neuron['output'])

误差反向传播过程中,我们首先需要根据模型的输出来计算得到误差,然后计算输出层的误差项。得到输出层的误差项之后,我们就可以根据上篇中介绍的"第k层神经元的误差项是由第k+1层的误差项乘以第k+1层的权重,再乘以第k层激活函数的导数得到"来计算其它层的误差项。

在计算得到每一层的误差项之后,我们根据上篇中介绍的权重矩阵和偏置项的更新公式来更新参数:

def update_parameters(network, row, l_rate):
    """利用误差更新神经网络的参数(权重矩阵和偏置项)
    :param network: 神经网络
    :param row: 一个样本数据
    :param l_rate: 学习率
    :return:
    """
    for i in range(len(network)):
        inputs = row[:-1]
        if i != 0:  # 获取上一层网络的输出
            inputs = [neuron['output'] for neuron in network[i - 1]]
        for neuron in network[i]:
            # 更新权重矩阵
            for j in range(len(inputs)):
                neuron['weights'][j] += l_rate * neuron['delta'] * inputs[j]
            # 更新偏置项
            neuron['weights'][-1] += l_rate * neuron['delta']

到这里所有的关键部分我们都已经实现了,接下来我们实现网络的初始化以及网络的训练部分,首先实现网络的初始化:

def initialize_network(n_inputs, n_hidden, n_outputs):
    """初始化BP网络(初始化隐藏层和输出层的参数:权重矩阵和偏置项)
    :param n_inputs: 特征列数
    :param n_hidden: 隐藏层神经元个数
    :param n_outputs: 输出层神经元个数,即分类的总类别数
    :return: 初始化后的神经网络
    """
    network = list()
    # 隐藏层
    hidden_layer = [{'weights': [random.random() for i in range(n_inputs + 1)]} for i in range(n_hidden)]
    network.append(hidden_layer)
    # 输出层
    output_layer = [{'weights': [random.random() for i in range(n_hidden + 1)]} for i in range(n_outputs)]
    network.append(output_layer)
    return network

这里我们初始化了一个两层神经网络(一个隐藏层和一个输出层)。在初始化参数的时候,我们将权重矩阵和偏置项放在了一个数组中("weights"),数组的最后一个元素是偏置项,前面的元素是权重矩阵。

接下来我们实现模型的训练部分:

def train(train_data, l_rate, epochs, n_hidden, val_data):
    """训练神经网络(迭代n_epoch个回合)
    :param train_data: 训练集
    :param l_rate: 学习率
    :param epochs: 迭代的回合数
    :param n_hidden: 隐藏层神经元个数
    :param val_data: 验证集
    :return: 训练好的网络
    """
    # 获取特征列数
    n_inputs = len(train_data[0]) - 1
    # 获取分类的总类别数
    n_outputs = len(set([row[-1] for row in train_data]))
    # 初始化网络
    network = initialize_network(n_inputs, n_hidden, n_outputs)

    acc = []
    for epoch in range(epochs):  # 训练epochs个回合
        for row in train_data:
            # 前馈计算
            _ = forward_propagate(network, row)
            # 处理一下类标,用于计算误差
            actual_label = [0 for i in range(n_outputs)]
            actual_label[row[-1]] = 1
            # 误差反向传播计算
            backward_propagate_error(network, actual_label)
            # 更新参数
            update_parameters(network, row, l_rate)
        # 保存当前epoch模型在验证集上的准确率
        acc.append(validation(network, val_data))
    # 绘制出训练过程中模型在验证集上的准确率变化
    plt.xlabel('epochs')
    plt.ylabel('accuracy')
    plt.plot(acc)
    plt.show()

    return network

我们总共训练了epochs个回合,这里我们使用随机梯度下降来优化模型,因此每次都用一个样本来更新参数。接下来我们实现一个函数用来验证模型的效果:

def validation(network, val_data):
    """测试模型在验证集上的效果
    :param network: 神经网络
    :param val_data: 验证集
    :return: 模型在验证集上的准确率
    """
    # 获取预测类标
    predicted_label = []
    for row in val_data:
        prediction = predict(network, row)
        predicted_label.append(prediction)
    # 获取真实类标
    actual_label = [row[-1] for row in val_data]
    # 计算准确率
    accuracy = accuracy_calculation(actual_label, predicted_label)
    # print("测试集实际类标:", actual_label)
    # print("测试集上的预测类标:", predicted_label)
    return accuracy

训练过程中的每一个回合,我们都用模型对验证集进行一次预测,并将预测的结果保存,用来绘制训练过程中模型在验证集上的准确率的变化过程。准确率的计算以及使用模型进行预测的实现如下:

def accuracy_calculation(actual_label, predicted_label):
    """计算准确率
    :param actual_label: 真实类标
    :param predicted_label: 模型预测的类标
    :return: 准确率(百分制)
    """
    correct_count = 0
    for i in range(len(actual_label)):
        if actual_label[i] == predicted_label[i]:
            correct_count += 1
    return correct_count / float(len(actual_label)) * 100.0


def predict(network, row):
    """使用模型对当前输入的数据进行预测
    :param network: 神经网络
    :param row: 一个数据样本
    :return: 预测结果
    """
    outputs = forward_propagate(network, row)
    return outputs.index(max(outputs))

最后我们运行代码:

if __name__ == "__main__":
    file_path = './iris.csv'

    # 参数设置
    l_rate = 0.2  # 学习率
    epochs = 300  # 迭代训练的次数
    n_hidden = 5  # 隐藏层神经元个数
    n_train_data = 130  # 训练集的大小(总共150条数据,训练集130条,验证集20条)

    # 加载数据并划分训练集和验证集
    train_data, val_data = load_dataset(file_path, n_train_data)
    # 训练模型
    network = train(train_data, l_rate, epochs, n_hidden, val_data)

训练过程如图3所示:

About

一文彻底搞懂BP算法:原理推导+数据演示+项目实战

Topics

Resources

Stars

Watchers

Forks

Releases

No releases published

Packages

No packages published

Languages